http://www.zh61.com.cn- 真好未来星

未来星网 真好未来星 Rss 2.0 会员中心 会员注册
搜索: 您现在的位置: 真好未来星 >> 数理化 >> 数学 >> 微积分 >> 正文

二重积分的计算例子

作者:佚名    文章来源:网络收集    点击数:    更新时间:2023-08-31

二重积分是二元函数在空间上的积分,同定积分类似,是某种特定形式的和的极限。本质是求曲顶柱体体积。重积分有着广泛的应用,可以用来计算曲面的面积,平面薄片重心等。平面区域的二重积分可以推广为在高维空间中的(有向)曲面上进行积分,称为曲面积分。

二重积分的计算 

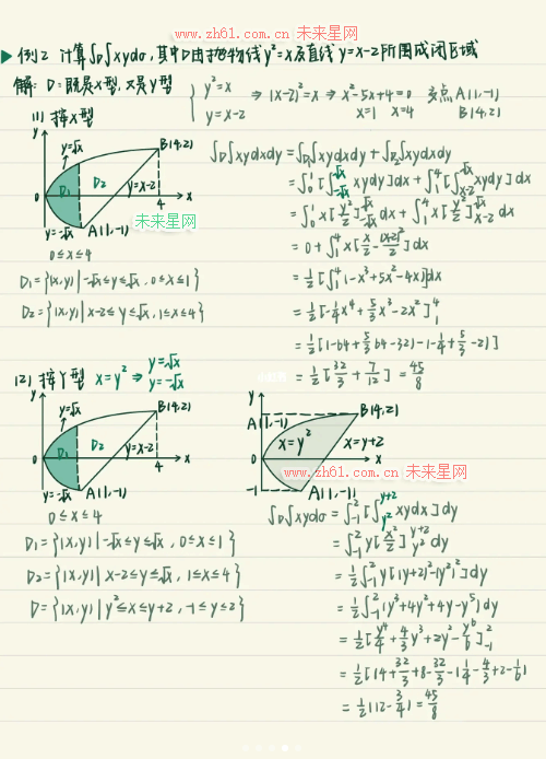
二重积分的计算实例 

二重积分的计算实例 

二重积分的计算实例 

二重积分的计算实例 

Tags:二重积分,微积分  
责任编辑:admin
请文明参与讨论,禁止漫骂攻击,不要恶意评论、违禁词语。 昵称:
1分 2分 3分 4分 5分

还可以输入 200 个字
[ 查看全部 ] 网友评论
关于我们 - 联系我们 - 广告服务 - 友情链接 - 网站地图 - 版权声明 - 在线帮助 - 文章列表
返回顶部
刷新页面
下到页底
晶体管查询