动量守恒定律有关的概念
1、系统:相互作用的几个物体所组成的整体叫做系统。
2、内力:系统内物体间的作用力叫做内力。
3、外力:系统外物体对系统的作用力叫做外力。
动量守恒定律:
1、内容:如果一个系统不受外力,或者外力的矢量和为零,则这个系统的总动量保持不变。(或者说,当系统不受外力或所受外力和为零,则系统动量守恒)
2、公式:
。
3、守恒的条件:
(1)系统不受外力或者所受外力和为零
(2)系统如果在某一方向上不受外力或外力和为零,那么在这一方向上动量也守恒。
(3)当系统受外力作用,但如果内力远远大于外力,则动量也守恒。(像爆炸、碰撞等)
动量守恒定律公式推导
设质量为m1、m2的小球在碰前的速度分别为V1、和V2,碰后的速度分别为
、
。设两球在碰撞过程中m1受到的平均作用力为F1, m2受到的平均作用力为F2。

分别对m1、m2用动量定理。
对m1:F1t=m1
—m1v1。
对m2:F2t=m2
—m2v2。
由牛顿第三定律知:F1=—F2
联立以上各式可得:
(碰撞前后动量守恒)
动量守恒定律的运用
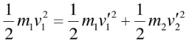
例题:光滑水平面上有质量分别为m1、m2的小球,其中m1有水平向在右的速度,m2静止,求碰撞以后两者的速度。(碰撞过程为弹性碰撞)
分析:在碰撞过程中机械能守恒和动量守恒。
由机械能守恒:
。
由动量守恒:
。
联立以上两式:
(这个结果最好记住!)
分析最终结果可知:当m1>m2时,两小球将向右运动;当m1<m2时,m1速度将反向。

更多
返回顶部
刷新页面
下到页底