[拼音]:Kanuo xunhuan
[外文]:Carnot cycle
两个绝热过程和两个等温过程组成的循环。1824年法国工程师S.卡诺在研究提高热机效率的过程中,设想了一种热机。假定工作物质只同两个热源(高温热源和低温热源)交换热量,既没有散热也不存在摩擦,这种热机称为卡诺热机。其循环过程称为卡诺循环。卡诺循环的工作物质可以是理想气体,气、液二相系统,磁介质等。循环若是可逆的,就称为可逆卡诺循环;若是不可逆的,就称为不可逆卡诺循环。通常提到的卡诺循环,是指可逆卡诺循环。
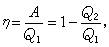
卡诺循环中能量的转换情况可用图1表示。工作物质从高温热源吸收热量Q1,一部分用于对外作功A,一部分热量Q2放给低温热源。因为卡诺循环只同两个热源交换热量,所以可逆卡诺循环是由两个准静态等温过程和两个准静态绝热过程组成的。图2是理想气体可逆卡诺循环的p-V图。
(1)等温膨胀,工作物质从温度为T1的热源吸收热量Q1,由状态(T1,VA)膨胀到状态(T1,VB);
(2)绝热膨胀,由状态(T1,VB)到状态(T2,VC);
(3)等温压缩,由状态(T2,VC)到状态(T2,V2),工质放出热量Q2;
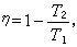
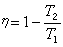
(4)绝热压缩,由状态(T2,V2)到状态(T1,VA),完成一个循环。在此循环过程中,卡诺热机所作的功为A=Q1-Q2,循环的效率
而理想气体卡诺循环的效率则为
,
仅同两个热源的温度有关。
卡诺进一步提出:
(1)在相同的高温热源和相同的低温热源之间工作的一切可逆热机,其效率都是
,同工作物质无关。
(2)在相同的高温热源和相同的低温热源之间工作的一切不可逆热机,其效率都不可能大于可逆热机的效率。以上两条统称为卡诺定理。卡诺对该定理的证明是根据热质说理论和制造永动机不可能原理作出的。直到开尔文和R.克劳修斯建立了热力学第二定律之后,卡诺定理才得到正确的证明。
卡诺循环和卡诺定理都具有很重要的理论和实践意义,对热力学第二定律的建立起了重要作用。在卡诺定理的基础上还建立了同测温质以及测温属性无关的热力学温标,使温度测量建立在客观的基础上。应用卡诺循环和卡诺定理还可以研究物质的某些性质,例如表面张力同温度的关系、可逆电池的电动势以及饱和蒸气压(见蒸气压)同温度的关系等。B.-P.-E.克拉珀龙在1834年利用一个无限小的可逆卡诺循环,导出了饱和蒸气压随温度改变的克拉珀龙方程。在热工学中,卡诺定理给出了热机效率的极限,并指出了提高热机效率的方向,对提高热机效率具有重要的指导意义。

更多
返回顶部
刷新页面
下到页底